牛客算法题
[TOC]
入门
简单
运行时间与排名成反比
NC3 链表中环的入口结点
题述
给一个长度为n链表,若其中包含环,请找出该链表的环的入口结点,否则,返回null。
数据范围: n -10000n≤10000,1<=结点值<=100001<=结点值<=10000
要求:空间复杂度 O(1)O(1),时间复杂度 O(n)O(n)
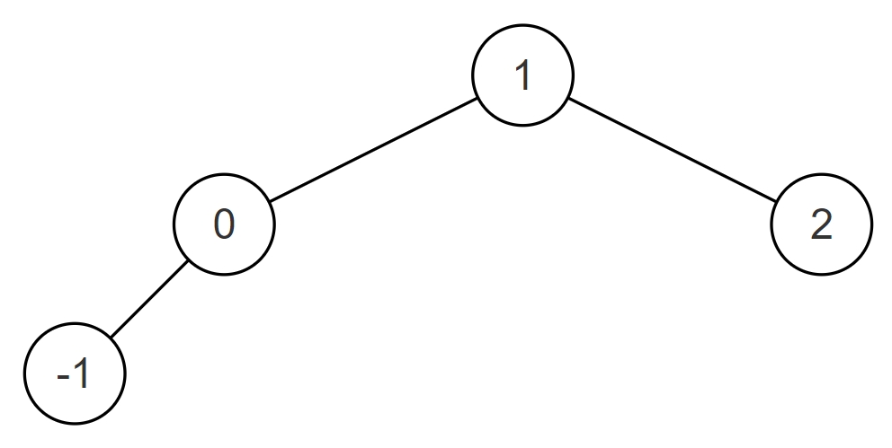
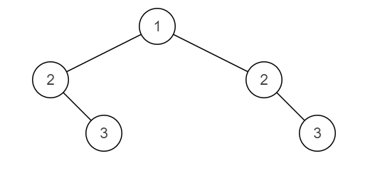
例如,输入{1,2},{3,4,5}时,对应的环形链表如下图所示:
可以看到环的入口结点的结点值为3,所以返回结点值为3的结点。
解体思路
这题我们可以采用双指针解法,一快一慢指针。快指针每次跑两个element,慢指针每次跑一个。如果存在一个圈,总有一天,快指针是能追上慢指针的。
如下图所示,我们先找到快慢指针相遇的点,p。我们再假设,环的入口在点q,从头节点到点q距离为A,q p两点间距离为B,p q两点间距离为C。
因为快指针是慢指针的两倍速,且他们在p点相遇,则我们可以得到等式 2(A+B)= A+ B + n(C+B)
由3的等式,我们可得,C = A。(C有肯是转了好几个小圈子)
论证:3等式化简得A=(n-1)(C+B)+C
论证:慢指针转一圈内必然会和快指针相遇
这时,因为我们的slow指针已经在p,我们可以新建一个另外的指针,slow2,让他从头节点开始走,每次只走下一个,原slow指针继续保持原来的走法,和slow2同样,每次只走下一个。
我们期待着slow2和原slow指针的相遇,因为我们知道A=C,所以当他们相遇的点,一定是q了。
我们返回slow2或者slow任意一个节点即可,因为此刻他们指向的是同一个节点,即环的起始点,q。
public ListNode EntryNodeOfLoop(ListNode pHead)
{
ListNode slow = pHead;
ListNode fast = pHead;
do {
if(fast.next==null||fast.next.next==null)
return null;
slow = slow.next;
fast = fast.next.next;
}while(slow!=fast);
ListNode slow2 = pHead;
slow2 = pHead;
while(slow!=slow2){
slow = slow.next;
slow2 = slow2.next;
};
return slow;
}NC7 买卖股票的最好时机(一)
public int maxProfit (int[] prices) {
// write code here
int max = 0;
int margin = 0;
int buyDay = 0;
for (int i = 0; i < prices.length; i++)
{
margin = prices[i] - prices[buyDay];
if(margin>max) {
max = margin;
}
if(margin<0) {
buyDay = i;
}
}
return max;
}参考数据结构与算法分析java语言描述里的论述
大概思路
设置margin,一旦margin大于max,就重置差值起点,继续寻找最大值;
NC9 二叉树中和为某一值的路径(一)
解法1:递归算法
/**
*
* @param root TreeNode类
* @param sum int整型
* @return bool布尔型
*/
static boolean flag = false;
public boolean hasPathSum(TreeNode root, int sum)
{
// write code here
if(root==null)
return false;
sum = sum - root.val;
if(flag);
if (root.left != null)
{
hasPathSum(root.left, sum);
}
if (root.right != null)
{
hasPathSum(root.right, sum);
}
if (root.left == null && root.right == null && sum == 0)
{
flag = true;
}
return flag;
}时间复杂度:O(N):N是节点的个数
空间复杂度:O(H):H是树的高度
NC11 将升序数组转化为平衡二叉搜索树
描述
给定一个升序排序的数组,将其转化为平衡二叉搜索树(BST).
平衡二叉搜索树指树上每个节点 node 都满足左子树中所有节点的的值都小于 node 的值,右子树中所有节点的值都大于 node 的值,并且左右子树的节点数量之差不大于1
数据范围:0 \le n \le 100000≤n≤10000,数组中每个值满足 |val| \le 5000∣val∣≤5000 进阶:空间复杂度 O(n)O(n) ,时间复杂度 O(n)O(n)
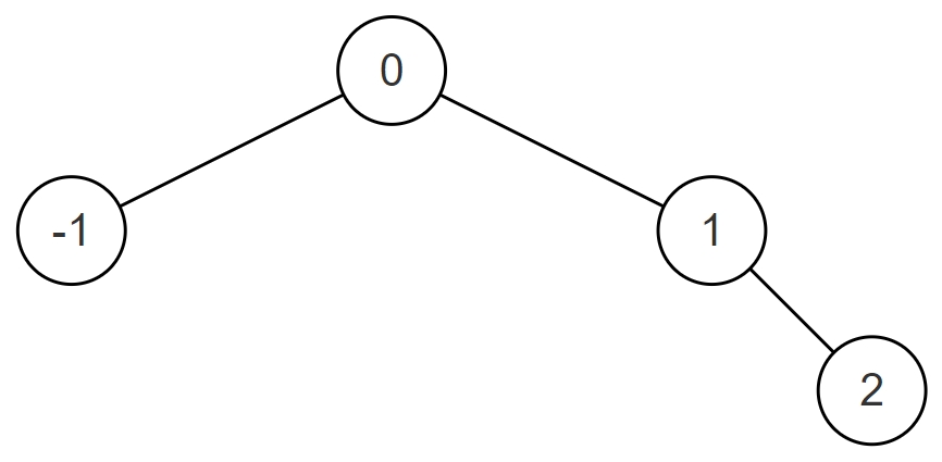
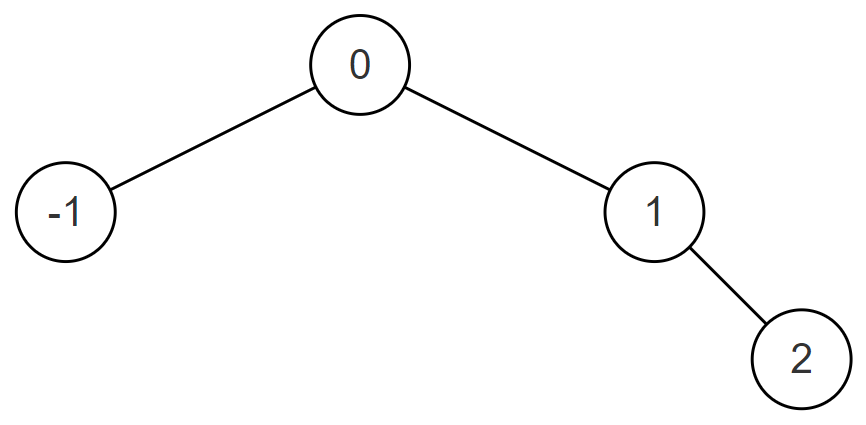
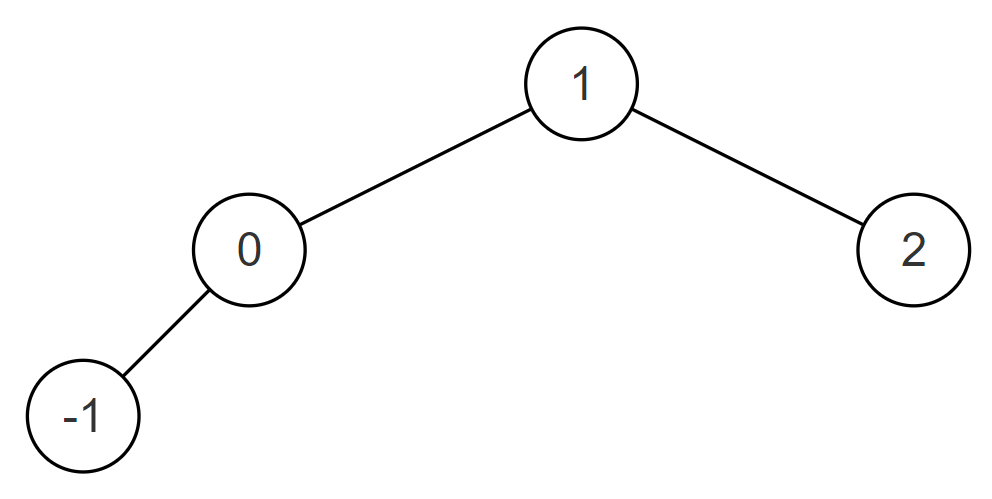
例如当输入的升序数组为[-1,0,1,2]时,转化后的平衡二叉搜索树(BST)可以为{1,0,2,-1},如下图所示:

或为{0,-1,1,#,#,#,2},如下图所示:

返回任意一种即可。
注意点:
已经排序,所以使用二分法
二分法除以二使用位运算更佳
基准情形有限使用start>end
public TreeNode sortedArrayToBST(int[] num) {
TreeNode root = sortedArrayToBST(num, 0, num.length-1);
return root;
}
private TreeNode sortedArrayToBST(int[] num, int start, int end) {
if (start > end) {
return null;
}
int mid = (start + end) >> 1;
TreeNode treeNode = new TreeNode(num[mid]);
treeNode.left = sortedArrayToBST(num, start, mid - 1);
treeNode.right = sortedArrayToBST(num, mid + 1, end);
return treeNode;
}NC16 对称的二叉树
描述
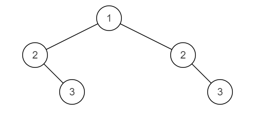
给定一棵二叉树,判断其是否是自身的镜像(即:是否对称) 例如: 下面这棵二叉树是对称的
下面这棵二叉树不对称。 
数据范围:节点数满足
0 \le n \le 10000≤n≤1000,节点上的值满足 |val| \le 1000∣val∣≤1000
要求:空间复杂度 O(n)O(n),时间复杂度 O(n)O(n)
备注:
你可以用递归和迭代两种方法解决这个问题
错误思路
开始构想
先进入最底层,从最底层开始判断是否平衡
基准情形为全空,用bottom判断
存在的问题
在不进入最低层时候就能判断出是否平衡
失败的原因貌似是因为要去最后一层会生成指数倍的节点,出现溢出
private TreeNode emptyNode = new TreeNode(-1);
boolean isSymmetrical(TreeNode... nodes) {
ArrayList<TreeNode> treeNodes = new ArrayList<>();
boolean bottom = true;
for (int i = 0; i < nodes.length; i++) {
if (nodes[i] != null) {
bottom = false;
} else {
nodes[i] = emptyNode;
}
treeNodes.add(nodes[i].left);
treeNodes.add(nodes[i].right);
}
/**
* 基准情形 全空
*/
if (bottom) {
return true;
}
boolean b = isSymmetrical(treeNodes.toArray(new TreeNode[treeNodes.size()]));
//再判断是否对称
int i = 0;
int j = nodes.length - 1;
while (i < j) {
if (nodes[i] == emptyNode && nodes[j] == emptyNode) ;
else if ((nodes[i] == emptyNode && nodes[j] != emptyNode) ||
(nodes[j] == emptyNode && nodes[i] != emptyNode))
return false;
else if (nodes[i].val != nodes[j].val) {
return false;
}
i++;
j--;
}
return true && b;
}==正确思路==
方法一、递归:
如果一个树的左子树与右子树镜像对称,那么这个树是对称的。

因此,该问题可以转化为:两个树在什么情况下互为镜像?
如果同时满足下面的条件,两个树互为镜像:
它们的两个根结点具有相同的值。
每个树的右子树都与另一个树的左子树镜像对称。

就像人站在镜子前审视自己那样。镜中的反射与现实中的人具有相同的头部,但反射的右臂对应于人的左臂,反之亦然。
顺藤摸瓜:
一次处理一对镜像节点,先处理内,后处理外
Java 代码实现
public boolean isSymmetric(TreeNode root) {
return isMirror(root, root);
}
public boolean isMirror(TreeNode t1, TreeNode t2) {
if (t1 == null && t2 == null) return true;
if (t1 == null || t2 == null) return false;
return (t1.val == t2.val)
&& isMirror(t1.right, t2.left)
&& isMirror(t1.left, t2.right);
}方法二、迭代:
除了递归的方法外,我们也可以利用队列进行迭代。队列中每两个连续的结点应该是相等的,而且它们的子树互为镜像。最初,队列中包含的是 root 以及 root。该算法的工作原理类似于 BFS,但存在一些关键差异。每次提取两个结点并比较它们的值。然后,将两个结点的左右子结点按相反的顺序插入队列中。当队列为空时,或者我们检测到树不对称(即从队列中取出两个不相等的连续结点)时,该算法结束。
Java 代码实现
public boolean isSymmetric(TreeNode root) {
Queue<TreeNode> q = new LinkedList<>();
q.add(root);
q.add(root);
while (!q.isEmpty()) {
TreeNode t1 = q.poll();
TreeNode t2 = q.poll();
if (t1 == null && t2 == null) continue;
if (t1 == null || t2 == null) return false;
if (t1.val != t2.val) return false;
q.add(t1.left);
q.add(t2.right);
q.add(t1.right);
q.add(t2.left);
}
return true;
}复杂度分析
时间复杂度:
。因为我们遍历整个输入树一次,所以总的运行时间为
,其中
是树中结点的总数。
空间复杂度:搜索队列需要额外的空间。在最糟糕的情况下,我们不得不向队列中插入
个结点。因此,空间复杂度为
。
NC19 连续子数组的最大和
题目描述
输入一个整型数组,数组里有正数也有负数。数组中的一个或连续多个整数组成一个子数组。求所有子数组的和的最大值。要求时间复杂度为 O(n). 示例1 输入:[1,-2,3,10,-4,7,2,-5] 返回值:18 说明:输入的数组为{1,-2,3,10,—4,7,2,一5},和最大的子数组为{3,10,一4,7,2},因此输出为该子数组的和 18。
解题思路
**方法1:**连续的子数组,即数组中从i下标到j下标(0<=i<=j<数组长度)的数据,想要获得所有的子数组和,可以通过暴力法,两次循环获得,但时间复杂度为O(n^2),效率不高。
**方法2:**动态规划,设动态规划列表 dp,dp[i] 代表以元素 array[i] 为结尾的连续子数组最大和。 状态转移方程: dp[i] = Math.max(dp[i-1]+array[i], array[i]); 具体思路如下: 1.遍历数组,比较 dp[i-1] + array[i] 和 array[i]的大小; 2.为了保证子数组的和最大,每次比较 sum 都取两者的最大值; 3.用max变量记录计算过程中产生的最大的连续和dp[i]; 
**方法3:**我们可以简化动态规划,使用一个变量sum来表示当前连续的子数组和,以及一个变量max来表示中间出现的最大的和。
代码实现
方法1:暴力法,时间复杂度O(n^2),空间复杂度O(1)
方法2:动态规划,时间复杂度O(n),空间复杂度O(n)
public int FindGreatestSumOfSubArray(int[] array) {
int[] dp = new int[array.length];
int max = array[0];
dp[0] = array[0];
for(int i=1;i<array.length;i++){
// 动态规划,状态转移方程,确定dp[i]的最大值
dp[i] = Math.max(dp[i-1] + array[i], array[i]);
// 每次比较,保存出现的最大值
max = Math.max(max,dp[i]);
}
return max;
}==方法3:优化动态规划,时间复杂度O(n),空间复杂度O(1)==!!!!
public int FindGreatestSumOfSubArray(int[] array) {
int sum = 0;
int max = array[0];
for(int i=0;i<array.length;i++){
// 优化动态规划,确定sum的最大值
sum = Math.max(sum + array[i], array[i]);
// 每次比较,保存出现的最大值
max = Math.max(max,sum);
}
return max;
}NC22 合并两个有序的数组
/*
* 最优解:从后往前处理,不需要开辟额外空间
*/
public void merge(int[] nums1, int m, int[] nums2, int n) {
int i = m - 1, j = n - 1, index = m + n - 1;
while (i >= 0 && j >= 0)
nums1[index--] = nums1[i] > nums2[j] ? nums1[i--] : nums2[j--];
while (j >= 0)
nums1[index--] = nums2[j--];
}
//整洁!注意对数组的访问尽可能避免越界
NC32 求平方根
我的思路
二分法,但是mid*mid会溢出,所以转换为long类型
public int sqrt2(int x)
{
// write code here
long longx = x;
long left = 1;
long right = x;
long mid = (left + right) / 2;
while (right - left > 1)
{
if (mid * mid == longx)
left = right;
else if (mid * mid > longx)
{
right = (left + right) / 2;
mid = (left + right) / 2;
} else
{
left = (left + right) / 2;
mid = (left + right) / 2;
}
}
return (int) mid;
}改良二分法
public int sqrt1(int x)
{
// write code here
if(x<2)
{
return x;
}
int left = 0;
int right = x;
int mid = left + (right - left) / 2;
int tempSqrt = x / mid;
while (right-left>1)
{
if (mid == tempSqrt)
return tempSqrt;
else if (mid > tempSqrt)
{
right = mid;
mid = left + (right - left) / 2;// 避免了溢出
} else
{
left = mid;
mid = left + (right - left) / 2;
}
tempSqrt = x / mid;
}
return left;
}NC34 求路径
我的想法
动态规划题型
1
1+1=2
1+2=3
1
2+1=3
3+3=6
public int uniquePaths(int m, int n)
{
// write code here
int[][] paths = new int[m][n];
Arrays.fill(paths[0], 1);
for (int i = 0; i < paths.length; i++)
{
paths[i][0] = 1;
}
int i = 1;
int j = 1;
while (i != paths.length & j != paths[0].length)
{
while (j <= paths[0].length-1)
{
paths[i][j] = paths[i - 1][j] + paths[i][j - 1];
j++;
}
j=i;
i++;
while (i <= paths.length-1)
{
paths[i][j] = paths[i - 1][j] + paths[i][j - 1];
i++;
}
j++;
i=j;
}
return paths[m - 1][n - 1];
}NC61 两数之和 未学习完全
给出一个整型数组 numbers 和一个目标值 target,请在数组中找出两个加起来等于目标值的数的下标,返回的下标按升序排列。
(注:返回的数组下标从1开始算起,保证target一定可以由数组里面2个数字相加得到)
要求:空间复杂度 O(n)O(n),时间复杂度 O(nlogn)O(nlogn)
我的想法
暴力算法,时间超时
public int[] twoSum (int[] numbers, int target) {
// write code here
int[] res = new int[2];
for (int i = 0; i < numbers.length; i++)
{
for (int j = i+1; j < numbers.length; j++)
{
if(numbers[i]-target==numbers[j]) {
res[0]=i+1;
res[1]=j+1;
return res;
}
}
}
return res;
}哈希算法
用空间换时间
public int[] twoSum (int[] numbers, int target) {
// write code here
HashMap<Integer, Integer> map = new HashMap<>();
//遍历数组
for (int i = 0; i < numbers.length; i++) {
//将不包含target - numbers[i],装入map中,包含的话直接返回下标
if(map.containsKey(target - numbers[i]))
return new int[]{map.get(target - numbers[i])+1, i+1};
else
map.put(numbers[i], i);
}
throw new IllegalArgumentException("No solution");
}NC66 两个链表的第一个公共结点
我的想法
先遍历找到长短差,然后从同一位置开始找相同节点
public ListNode FindFirstCommonNode(ListNode pHead1, ListNode pHead2)
{
int count1 = 0;
int count2 = 0;
ListNode p1 = pHead1;
ListNode p2 = pHead2;
boolean flag = true;
if(p1==null||p2==null)return null;
while (flag)
{
if (p1.next != null)
{
count1++;
p1 = p1.next;
}
if (p2.next != null)
{
count2++;
p2 = p2.next;
}
if (p1 == p2)
{
count1++;
count2++;
flag = false;
} else if (p1.next == null && p2.next == null)
return null;
}
p1 = pHead1;
p2 = pHead2;
if (count1 > count2)
{
for (int i = 0; i < count1 - count2; i++)
{
p1 = p1.next;
}
} else
{
for (int i = 0; i < count2 - count1; i++)
{
p2 = p2.next;
}
}
while (p1 != p2)
{
p1=p1.next;
p2=p2.next;
}
return p1;
}其他思路
巧妙:交叉指针,一定会在某个点相遇,交点或者null
public ListNode FindFirstCommonNode(ListNode pHead1, ListNode pHead2)
{
ListNode p1 = pHead1;
ListNode p2 = pHead2;
if(p1==null||p2==null)
return null;
while(p1!=p2)
{
p1=p1.next;
p2=p2.next;
if(p1 != p2){
if(p1 == null)p1 = pHead2;
if(p2 == null)p2 = pHead1;
}
}
//有交集的链不会指向null,因为此时已经相等
//若无交集会在null时相等,相当于相交链是空链
return p1;
}NC69 链表中倒数最后k个结点
输入一个长度为 n 的链表,设链表中的元素的值为 ai ,返回该链表中倒数第k个节点。
如果该链表长度小于k,请返回一个长度为 0 的链表。
要求:空间复杂度 O(n)O(n),时间复杂度 O(n)O(n)
进阶:空间复杂度 O(1)O(1),时间复杂度 O(n)O(n)
我的思路
使用数组记录
时间复杂度O(n),空间复杂度O(n)
public ListNode FindKthToTail (ListNode pHead, int k) {
// write code here
ArrayList<ListNode> nodeArray = new ArrayList<ListNode>();
ListNode p = pHead;
while(p!=null)
{
nodeArray.add(p);
p=p.next;
}
if(k>nodeArray.size()||k==0)return null;
return nodeArray.get(nodeArray.size()-k);
}其他思路
双指针,第一个与第二个间隔k,第一个到尾部,第二个位置便是最后k个节点
public ListNode FindKthToTail (ListNode pHead, int k)
{
ListNode p1 = pHead;
ListNode p2 = pHead;
for (int i = 0; i < k; i++)
{
if(p1==null)return null;
p1=p1.next;
}
while(p1!=null)
{
p1=p1.next;
p2=p2.next;
}
return p2;
}NC70 单链表的排序
使用冒泡算法,两两交换,理论很简单,但链表实现起来有些难度
可优化的点:控制什么时候结束
public ListNode sortInList(ListNode head)
{
// write code here
ListNode fake = new ListNode(0);
fake.next = head;
ListNode pre = fake;
ListNode p = pre.next;
ListNode q = p.next;
ListNode t = fake.next;
int length = 0;
// 先遍历寻找长度
while(t!=null)
{
length++;
t=t.next;
}
for(int i=0;i<length;i++)
{
while (q != null)
{
if (p.val > q.val)
{
swap(pre);
pre = q;
q = p.next;
}else
{
pre=pre.next;
p = pre.next;
q = p.next;
}
}
pre = fake;
p = pre.next;
q = p.next;
}
return fake.next;
}
private void swap(ListNode pre)
{
ListNode p = pre.next;
ListNode q = p.next;
p.next = q.next;
q.next = p;
pre.next = q;
}NC192 二叉树的后序遍历
非递归算法--两个栈
思路: 这是一个非常巧妙的算法,后序遍历的顺序为左、右、根,反过来就是根、右、左,类似先序遍历的根、左、右, 先序遍历的非递归很简单:根节点入栈,出栈并依次判断右、左子树,有右入右,有左入左,然后循环出栈判断,后续遍历的反向遍历就是在 出栈判断时,先入左,后入右
import java.util.*;
public class Solution {
public int[] postorderTraversal (TreeNode root) {
// write code here
if(root==null)return new int[0];
Stack<TreeNode> s1=new Stack<>();
Stack<TreeNode> s2=new Stack<>();
TreeNode p=root;
s1.push(p);
while(!s1.empty()){
p=s1.pop();
s2.push(p);
if(p.left!=null)s1.push(p.left);
if(p.right!=null)s1.push(p.right);
}
int[] res=new int[s2.size()];
for(int i=0;i<res.length;i++){
res[i]=s2.pop().val;
}
return res;
}
}非递归算法-一个栈
import java.util.*;
public class Solution {
public int[] postorderTraversal (TreeNode root) {
// write code here
if(root==null)return new int[0];
Stack<TreeNode> s=new Stack<>();
List<Integer> list=new ArrayList<>();
//定义两个指针,t指向栈顶,c指向刚出栈的节点,初始都指向root
TreeNode t=root;
TreeNode c=root;
s.push(t);
//进入循环,判断条件栈不为空
while(!s.empty()){
//t赋值为栈顶元素
t=s.peek();
//判断左子树是否为空,以及上一个弹出节点是否为左子树,以及是否为右子树
if(t.left!=null&&c!=t.left&&c!=t.right){
s.push(t.left);
//判断右子树是否为空,以及上一个弹出节点是否为右子树
}else if(t.right!=null&&c!=t.right){
s.push(t.right);
//弹出该节点,然后指针指向该弹出节点
}else{
list.add(t.val);
s.pop();
c=t;
}
}
int[] res=new int[list.size()];
for(int i=0;i<res.length;i++){
res[i]=list.get(i);
}
return res;
}
}PS:只记录需要记录的
Last updated